Baş nazirin birinci müavini 16 milyon manatlıq fındıq bağları alıb – SƏNƏDLƏR

Baş nazirin birinci müavini Yaqub Eyyubov Qusarda 16 milyon manat dəyərində torpaq sahələri və fındıq bağları alıb. Rubrika.az xəbər verir ki, bu barədə məlumatı tanınmış araşdırmaçı jurnalist Cavanşir Həsənli yayıb.
O bildirib ki, YAP-ın ötən qurultayında adı partiya rəhbərliyindən çıxarılanlar siyahısında olan baş nazirin birinci müavini Yaqub Eyyubov 44 günlük müharibədən bəri demək olar ki, ortalıqda görünməyib. “Amma sorağı Qusar meşələrindən gəlir. Eyyubovlar Qusarda 16 milyon manat dəyərində torpaq sahələri və fındıq bağları alıb”.
Onun bildirdiyinə görə, Yaqub Eyyubov daha çox bahalı dişləri ilə tanınan yüksək vəzifəli məmur kimi məşhurlaşıb. “Oğlu Orxan Eyyubov İngiltərə vətəndaşı olsa da, Kanadanın Ontario əyalətində daimi qeydiyyatdadır. Onun Kanada, İngiltərə, İsveçrə və Macarıstanda şirkətlərinin olduğu məlumdur.(jamaz.info)Yaqub Eyyubovun qardaşı Yusif Eyyubov Xorvatiyada, qardaşı oğlu Kamran Eyyubov Azərbaycanda böyük biznes şəbəkələrinə sahibdirlər”.
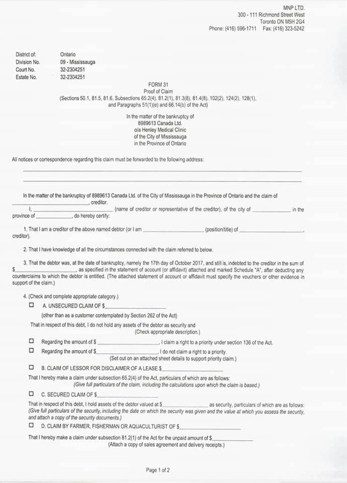
Cavanşi Həsənli yazır ki, Orxan Eyyubovun Londondakı daşınmaz əmlak şirkəti – NEW CANADA LTD-nin aktivləri ötən il 15 milyon funt sterlinqə (35.5 milyon manat) çatıb. “Eyyubovların Kanadadakı klinikası isə 4 il əvvəl bağlanıb. Kanadanın məşhur vergi və biznes konsaltinq şirkəti MNP LLP 2017-ci ildə Orxan Eyyubovun müraciəti əsasında iflas prosesinə start verib. Sənədlərə əsasən onun sahibi olduğu 8989613 Canada Ltd-nin 1 milyon dollara yaxın zəmanətsiz borcu ortaya çıxıb. Lakin şirkət bağlanmayıb və hazırda aktiv statusdadır”.![]()
![]()
![]()
![]()
![]()
![]()
![]()
![]()
![]()
![]()
Rubrika.az
Facebook-da paylaş












